Predicting the habitability of planets is closely tied to the amount of water, but understanding how water was delivered to the Earth is not well understood. Currently, we know there is a connection between the bulk composition of Earth, essentially the Earth’s major composing elements, and the total water content. A key component in explaining this connection is chondrites, which are early unaltered meteorites from 4.5 billion years ago. Chondrites can help explain this connection by giving us insight into the thermochemical environment during the early stages of planetary formation. By comparing current chondrite samples to the results of model, we can better understand the mechanisms that allowed terrestrial to form in the inner disk and how their bulk compositions evolved.
Author: Rohan Iyer
California Institute of Technology
Mentor: Yoshinori Miyazaki
Department of Computing & Mathematical Sciences, Caltech
Editor: Agnim Agarwal
Abstract
Understanding the processes that could produce bulk compositions similar to Earth’s is crucial in constraining how and where planets formed and grew in the early Solar System. A key component in understand these processes arise through analyze the evolution of chondrites. Chondrites are early unaltered meteorites from 4.5 billion years ago and they are likely candidates for the building blocks of Earth. In particular, the chemical composition of chondrites has a puzzling characteristic as chondrites exhibit surprising depletions in refractory elements including Al, Ca, and Mg. However, we still lack an astrophysical model to bridge the gap between the early stage of protoplanetary disk evolution, dense solar gas and dust rotating around a young star, and the formation of planetesimals, growing planet cores. The formation of planetesimals within the evolution of the protoplanetary disk still remains unclear; To this end, we built a self-consistent model solving for the disk evolution from the dust condensation to the planetesimal growth stage. The key mechanisms for planetesimal formation considered in the study are pebble accretion, streaming instability, and the transition of magnetorotational instability (MRI) modeled through . In our model, we consider the effects of different
values due to MRI as well as dust to gas ratio thresholds and accretion timescales that onset streaming instability. Our results demonstrate that the turbulence from an
transition from MRI to
in conjunction with streaming instability and pebble accretion creates lower pressure regions in which dust and pebbles accumulate within the terrestrial region. However, our model doesn’t account for two chemically distinct Mg-rich reservoirs which are necessary for explaining why Earth and enstatite chondrites share similar isotopic composition but different bulk compositions. We anticipate that our model will be used to constrain the viable parameter space for the formation of planetesimals as well as be a motivation to explore the mechanisms that produce a greater depletion in refractory elements.
1. Introduction
Bridging the gap between the chemical and astrophysical mechanisms is still largely debated. A key aspect to understanding this disconnect is by looking at chondrites. Chondrites provide a connection that can be used to constrain the building blocks of Earth and the thermochemical environment during early protoplanetary disk formation. One of the challenges in understanding the bulk composition is the lack of understanding in how the elemental compositions of chondrites evolve. Early planetary formation is supported by condensation theory which suggests that planets condensed from gas in the early nebula. As the solar gas dissipated over time, the protoplanetary disk cooled which suggests that volatile elements are expected to be depleted. However, chondrite samples show a surprising depletion in refractory elements like Ca, Mg, and Al (Wasson and Kallemeyn, 1988). One consideration for the depletion of refractory materials is that they were delivered to the inner disk because of their condensation temperatures. Refractory materials have higher condensation temperatures than volatiles, ~1500-1800 K for Al and Ca rich solids. Thus, it is possible that the refractory solids were able to diffuse inwards and sustain the higher temperatures of the inner-disk, resulting in the larger depletion of refractory material than volatile material.
When considering the astrophysical dynamics, the mechanisms that create terrestrial planets are still controversial. Accretion processes often consider two main objects: pebbles and planetesimals. Pebbles are millimeter to centimeter sized bodies, while planetesimals are kilometer sized objects. A promising mechanism in which the orbiting solids gravitationally collapse onto the growing planetesimal is streaming instability, which occurs when the dust to gas ratio or pebble to gas ratio surpasses a threshold. Once planetesimals form, they have been theorized to grow efficiently through pebble accretion. A key aspect of pebbles is in the way they interact with the gas flow. Pebbles are marginally coupled to the gas flow which facilitates planetesimals accreting material from the entire gravitational reach of the planet. The headwind experienced by the dust and pebbles particles allows them to lose angular momentum and accrete efficiently. This allows planetesimals to dissipate their kinetic energy and become gravitational bound to nearby large bodies, yielding planetesimal growth rates much higher than previous accretion rates considering planetesimal accretion (Johansen & Lambrechts 2012).

These mechanisms were suggested for gas giants like Uranus and Neptune, and so our model considers how streaming instability and pebble accretion characterize the inner-disk evolution of terrestrial planets. In particular, we consider the effects of streaming instability, pebble accretion, and MRI simultaneously which hasn’t been examined in previous studies. As such, we are looking to test different thresholds to onset streaming instability and see if they yield terrestrial planets consistent with our observations.
In our model, we consider both condensation theory and pebble accretion to investigate how and where planetesimals form as well as the loss of minerals in the inner region. The thermochemical evolution of the inner disk has been discussed in previous studies (Pignatale et al., 2018; Miyazaki and Korenaga, 2021), but previous disk models haven’t considered the major element chemistry in conjunction with astrophysical phenomena like MRI and pebble accretion to track the evolution from dust to planetesimal. Our model records the specific major element composition (Al, Ca, and Mg) over the entire protoplanetary disk evolution ( 1 Myr) from dust to planetesimal while incorporating these astrophysical principles. This allows us to constrain the astrophysical and thermochemical parameters and compare the final elemental compositions of our model to observations in chondrite samples. A key component of this model is implementing
values (measure of turbulent viscosity) considering the changes in turbulence within the inner disk. A key mechanism which onsets changes in turbulence is MRI. MRI works to create macroscopic turbulence and transport angular momentum, and the MRI transition has been suggested as a way to create a seed for terrestrial planets (Morbidelli et al., 2020). Therefore, an
transition due to the onset of MRI could be a possible mechanism for planetesimal formation.
To understand the conditions that enable streaming instability, we first considered the early stage of disk evolution: transport of gas, dust, and pebbles, before planetesimals are formed. The results showed a sizable dust depletion inside 3 AU where much of the dust was being converted to pebbles but not enough of an enrichment in pebbles to surpass the streaming instability threshold. We implement an transition due to the onset of MRI that directly changes based on the mid-disk temperature so higher temperatures result in stronger turbulence. Our results demonstrate that a significant
value change in the terrestrial region creates low pressure regions in which dust accumulates and eventually grows into planetesimals.
2. Model
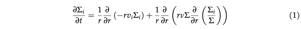
Our model solves for radial motion of gas, dust, pebbles and planetesimals within the protoplanetary disk. The motion of gas is described by the diffusion equation:

For solid materials, we solve for the dynamics of the three elements (Al, Ca, and Mg) using the advection-diffusion equation. The first term on the right hand side describes advection, and the second term is dissipation based on the concentration gradient, where denotes the surface density of species i, t is time, r is the distance from the Sun,
is the advection velocity,
is viscosity, and
is the total surface density.
For each element, we consider the evolution from dust to pebble to planetesimal while solving for each stage’s dynamics separately according to Eq. 1. Pebbles are mm-cm sized bodies formed through the collisions of the dust particles. Relative to dust particles, pebbles travel at higher advection velocities and accrete onto growing cores quickly because of their interaction with the gas flow. Pebbles are especially important because of their ability to deliver minerals to the inner regions of the disk as a result of their larger size and drift velocities. The formation of pebbles is described by the dust to pebble formation timescale, , and the Stokes’ number,
. Additionally, the evolution from pebble to planetesimal is similarly solved for but characterized by the streaming instability condition, the solid to gas ratio. The streaming instability condition is especially significant because it’s the main mechanism in the formation of planetesimals. In our study, we consider various timescales and pebble grain sizes in order to determine the most likely condition for the onset of streaming instability. We vary pebble to planetesimal timescales and streaming instability conditions in order to investigate how these parameters affect regions of elemental depletion as well as planetesimal formation and composition.
2.1. Disk Model
The model we built tracks the density and composition of solid particles of different sizes (dust, pebble, and planetesimal), as well as the temporal and spatial evolution of gas, temperature, and pressure. Our model solves for the evolution of the disk, spanning from 0.05 to 30 AU with 600 spatial intervals, where the dynamics, thermal structure and composition are self-consistently solved at a time step of 0.1 years. Initial chemical characteristics are defined by the elemental ratios for Al, Ca, and Mg which are .0391, .0372, .9236, respectively. Along with this, we define astrophysical constraints for the planetesimal as having a diameter of 200 km and a material density of 3000 kg/m.
2.2. Thermal Structure
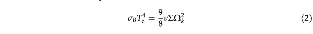
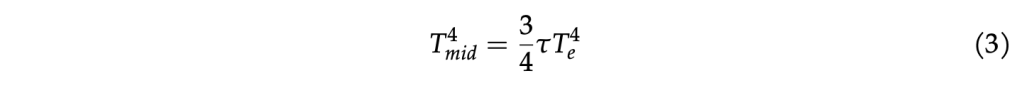
The thermal structure of the disk is solved using energy balance between blackbody radiation and viscous dissipation:

where is the Stefan-Boltzmann constant,
is the effective temperature, and
is the local Keplerian angular velocity. The mid-disk temperature,
, is then calculated using the effective temperature:

where and
is opacity of the dust.
2.3. Dynamics
For each species i in the gas and dust components, its surface density is solved using a 1D radial disk evolution model.
The advection velocity is calculated separately for the gas and dust
components. The gas component is calculated using,

and for the dust component,

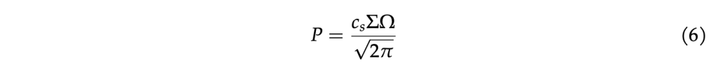
where is the normalized stopping time,
is the gas density at the disk midplane, and
is pressure. The pressure at the mid plane is a function of the surface density,

where is the sound velocity. The calculated Stokes Number is given by:

where Q* is the specific energy of fragmentation in which we adopt a value of , and
is a measure of the turbulence. We consider both constant Stokes numbers and Stokes number distributions calculated from Eq. 7 as well various
distributions in our model.
2.4. Alpha
While cause and magnitude of turbulence in the protoplanetary disk is still an active field of research, in the early stage of a protoplanetary disk, both magneto-rotational instability and pure hydrodynamic turbulence are considered as sources of turbulent viscosity (Bai and Stone 2013; Nelson et al. 2013; Stoll and Kley 2014). MRI is caused by the effective magnetic field from moving electrons in fluids and the resulting Lorentz force from that magnetic field. These forces have a destabilizing effect on the angular velocity of the fluid. Many previous mechanisms for fluid turbulence have been explored including shear flow turbulence, but now the transition of due to MRI has been suggested as a way to create a seed for terrestrial planets. The macroscopic turbulence is characterized by
in Eq. 4. Previous studies either consider a constant
value or a grid of
values including
,
,
. We simulate the change in
due to MRI with a temperature dependent
distribution in which
directly changes based on the mid-disk temperature. Therefore, higher temperatures result in stronger turbulence, especially in the inner disk. This allows the turbulence to evolve as temperature changes over time and better reflect the turbulent viscosity of the inner disk.
2.5. Streaming Instability & Pebble Accretion
For each element, the growth from pebble to planetesimal is modelled using pebble accretion. The mass accretion rate is defined as:

where is the accretion radius, and
and
are the pebble column density and mid-plane density, respectively. The accretion rate of pebbles is closely tied to the friction time of pebbles which is described by:

Since the focus of our model is the early stage of growth, we adopt the follow equation for the accretion radius () using the Bondi Limit:

(Johansen & Lambrecths 2017). For simplicity, we assume that planetesimals will be 200 km in diameter and have a material density of 3000 kg/m. The formation of planetesimals is triggered by the streaming instability condition. Pebbles are marginally coupled to the gas so radial drift allows pebbles collide and grow larger. As a result, they can gravitationally collapse onto the core if the dust to gas or pebble to gas ratio becomes too heavy. The theoretical value for the streaming instability condition has been suggested to be characterized by a dust to gas ratio > 1. In our model, we consider values of
,
,
as plausible values for the streaming instability condition. Note that we label the the change in
from
to constant
and
to constant
, MRI 4 and MRI 3 respectively, and we will use these naming conventions throughout the figures.
3. Results

Our model tracks the evolution of the major element chemistry through dust to planetesimal. Throughout the evolution of the disk, the temperature profile of the disk cools as the nebular gas cools and dissipates over time. Gas and dust from the outer disk through advection and diffusion travel towards the inner disk in which dust and pebble particles can accumulate and grow over time (Figure 2). This model builds upon previous models but incorporates key ideas like non-uniform turbulence due to MRI and pebble accretion. The implementation of turbulence due to MRI points to new considerations for the formation of planetesimals in the terrestrial region. The turbulence within the disk has a significant impact on the dust accumulation and the streaming instability condition.


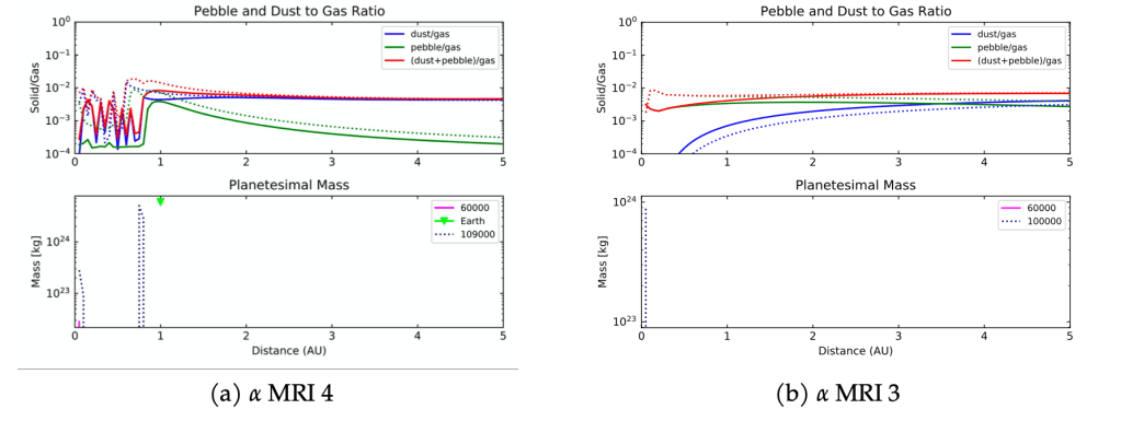
The dust accumulation can be attributed to the pressure within the inner disk (Figure 3). For larger differences in , there exist more low pressure regions within the disk that dust can travel into. These low pressure regions enable dust to form into pebbles and eventually planetesimals as dust flows from high pressure regions into these low pressure pockets. Additionally, the planetesimals formed must fit within reasonable constraints of terrestrial planets, particularly its mass. Terrestrial planets within the first 0.1 Myr should be on the order of
kg and especially when considering the bulk composition evolution of Earth, the mass should be close to Earths. Two different
-values are tested for the outer region (
and
), and its effect on the formation of planetesimals is illustrated in Figure 4.

Another parameter which impacts the growth of the planetesimals is the Stokes number. In this figure, we consider of 5, 10, and 20 times the
. Terrestrial planets exist within a specific mass range, typically <
kg. Comparing the Stokes number further helps us constrain the viable parameter space. Looking at Figure 5, there is a positive correlation between the Stokes Number and the planetesimals mass. In the first 100,000 years of evolution, planetesimals with masses ~
kg would not explain the evolution of Solar System as terrestrial planets have masses on the order of
to
kg.

Finally, we can constrain the elemental compositions and thermal structure of the inner disk. Chondrites are likely the building blocks of Earth but not one specific type of chondrite matches the Earth in terms of chemical and isotopic compositions. Earth is suggested to form from a Mg-rich reservoir, which existed just adjacent to the source region of enstatite chondrites, depleted in Al, Ca, and Mg. In order for the fractionation between these elements to occur, the temperature profile inside 1AU needs to be > 1000K which places further constraints on our parameter space. Incorporating a timescale, < 10,000 years would make the inner disk too cold which would increase the amount of ice existing around the terrestrial region. For a timescale of 100,000 years, more dust remains to support a high temperature inside 1AU. However, we don’t see enough of a depletion in Al and Ca to support having two chemically distinct Mg rich reservoirs (Figure 6).
4. Conclusion
By solving advection-diffusion equations in a self-consistent manner, our model considers pebble accretion and magnetorotational instability to simulate conditions in which streaming instability can occur. Our model suggests that creating planetesimals requires a significant change in turbulence which is measured by the dimensional parameter in order to create pressure pockets for dust and pebble accumulation. In our model, a transition from turbulence due to magnetorotational instability to a constant value of
, MRI 4, is sufficient in creating planetesimals in the terrestrial region. Additionally, the total mass of the planetesimals heavily depends on the Stokes Number in which a pebble stokes number equal to 5 times the dust’s Stokes Numbers yielded feasible masses for possible terrestrial planets. Additionally, the timescale
affects the streaming instability condition and temperature profile. For
years and
years, the model allows for a higher SI condition to be onset but also depletes dust too quickly which in turn results in heat dissipating too quickly as well. While the transition of
from MRI to
may trigger the streaming instability in the terrestrial region, the resulting compositions do not seem to explain the Earth nor enstatite chondrites in terms of the elemental compositions as we do not see enough depletion in Al and Ca. However, in a broader sense, our model works to connect two previously distinct areas of research, the minute chemical interactions of gas and dust within the early protoplanterary disk and N-body dynamics which are simulations once planets have already formed. While our model may not currently explain the formation of Earth, it’s possible that the parameters we considered could explain the composition of other exoplanet systems and that our model show key advancements in the evolution of the protoplanterary disk as well as in bridging the gap between cosmochemical observations and astrophysical dynamics.
5. Future Work
The next step for this model is to expand the viable parameter space. The parameters that were evaluated in this model help constrain viable astrophysical parameters but certain aspects like the depletion in Al and Ca are still not fully explained from our model. In addition, more work can be done to push the bounds of the streaming instability condition closer to the theoretical threshold. Inversely, finding the minimum thresholds to onset SI is an active area of research, so developments on these two fronts will help improve our model. On a grander scale, unifying our model of the early stage of evolution with the cosmochemical observations and later stages of planetary evolution like N-body simulations will give us a more complete depiction of the formation of terrestrial planets and the solar system.
Acknowledgements
I would like to thank Yoshinori Miyazaki for his continued mentorship throughout our research as well as the Caltech SURF program for supporting this project.
References
- X.-N. Bai and Stone J. M. Wind-driven accretion in protoplanetary disks. i. suppression of the magnetorotational instability and launching of the magnetocentrifugal wind. The Astrophysical Journal, 769(1):76, 2013. doi: 10.1088/0004-637x/769/1/76.
- S.J. Desch, Estrada P.R., A. Kalyaan, and J.N. Cuzzi. Formulas for radial transport in protoplanetary disks. The Astrophysical Journal, 840(2):86, 2017. doi: 10.3847/1538- 4357/aa6bfb.
- J. Drążkowska and Y Alibert. Planetesimal formation starts at the snow line. Astronomy & Astrophysics, 608, 2017. doi: 10.1051/0004-6361/201731491.
- Y. Miyazaki and J. Korenaga. Effects of chemistry on vertical dust motion in early protoplanetary disks. The Astrophysical Journal, 849(1):41, 2017. doi: 10.3847/1538- 4357/aa8cd1.
- Y. Miyazaki and J. Korenaga. Dynamic evolution of major element chemistry in protoplanetary disks and its implications for earth-enstatite chondrite connection. Icarus, 361:114368, 2021. doi: 10.1016/j.icarus.2021.114368.
- A. Morbidelli, G. Libourel, Jacobson Palme, H., S. A., and D. C Rubie. Subsolar al/si and mg/si ratios of non-carbonaceous chondrites reveal planetesimal formation during early condensation in the protoplanetary disk. Earth and Planetary Science Letters, 538:116220, 2020. doi: 10.1016/j.epsl.2020.116220.
- F. C. Pignatale, S. Charnoz, M. Chaussidon, and E. Jacquet. Making the planetary material diversity during the early assembling of the solar system. The Astrophysical Journal, 867(2), 2018. doi: 10.3847/2041-8213/aaeb22.
- M. H. Stoll and W Kley. Vertical shear instability in accretion disc models with radiation transport. Astronomy & Astrophysics, 572, 2014. doi: 10.1051/0004-6361/201424114.
- J.T. Wasson and G.W. Kallemeyn. Compositions of chondrites. Series A, Mathematical and Physical Sciences, 325(1587):535–544, 1988. doi: 10.1098/rsta.1988.0066.
- A. Youdin and A Johansen. Protoplanetary disk turbulence driven by the streaming instability: Linear evolution and numerical methods. The Astrophysical Journal, 662 (1):613–626, 2007. doi: 10.1086/516729.
Further Reading
A Mysterious Gap Within the Solar System’s Protoplanetary Disk
Effect of MHD Wind-driven Disk Evolution on the Observed Sizes of Protoplanetary Disks