Author: Saehui Hwang
Mentors: Sergi R. Hildebrandt
Editor: Michael Yao
…
Introduction
The current push for missions at NASA and others to identify Earth-like exoplanets is driven by the possibility of discovering such planets. In the past, such yield calculations have focused on using a coronagraph to suppress starlight [1]. Though widely studied, coronagraphs have significant limitations that have not yet been solved. First, coronagraphs can only effectively image large planets (considerably larger than Jupiter) that are close to the host star [2]. Furthermore, speckles (a result of attempting to detect a faint source over a bright and noisy background) may lead to false detection of orbits as it changes in time. Coronagraphs also require a high control of optics [3]. Meanwhile, recent developments of the starshade, a flower-shaped spacecraft that creates an artificial eclipse, allow for increased efficiency in the direct imaging of exoplanets.
A starshade works in conjunction with a space telescope and positions itself between the telescope and the star to block the starlight from the telescopes mirrors. The effective size of the starshade on the field of view of the camera is very small, between 72 and 106 milli-arcseconds. This small size allows the starshade to block the light from the star but let the light from the planet reach the telescope. Meanwhile, it is important to note that the starshade has its own propulsion system with limited fuel to reach the desired location, between the probe and the star. This sets tight constraints on the number of systems able to be observed and the duration of observation.

The starshade offers direct images of planets, which is the most efficient way to systematically observe atmospheres of rocky planets in the habitable zones of stars. The starshade has been adapted to several different mission concepts, such as the WFIRST mission [4]. For reference, the WFIRST mission has a telescope with a primary mirror spanning a radius of 1.2 meters, along with a starshade with a radius of 13 meters from the center to the tip of each of the 24 petals. The distance between the WFIRST probe and the starshade ranges between 23,000 km and 32,000 km, modified to accommodate the wavelength of the camera filter being used. The starshade has its own propulsion system with limited fuel to reach the desired location, between the probe and the star. This sets tight constraints on the number of systems able to be observed and the duration of observation.
The starshade offers many additional advantages such as unlimited outer working angle (OWA). This means that the field of view is only limited by detector size, as opposed to other observational tools limited by speckles or distance from host star. The starshade also allows for high-throughput spectroscopy. Importantly, no high-precision control requirements are imposed on the telescope because the starshade itself performs the starlight suppression [5].
In this project, we used the Starshade Imaging Simulation Toolkit for Exoplanet Reconnaissance (SISTER), a MATLAB-based software that, for the first time, produces predicted visual estimations that reflect what may be observed using a starshade and corresponding telescope. It generates Point Spread Functions (PSF) at particular wavelengths and convolves them with the astrophysical scenario to produce what the image would be at the pupil of the telescope. The software includes optical diffraction from a nominal or distorted starshade while incorporating a detector model with user defined noise parameters. This tool allows for controlling a set of parameters that are related to (1) starshade design, (2) exoplanetary system, (3) optical system (telescope), and (4) detector (camera). Specifically, the exoplanetary system parameters incorporate numerous astronomical factors such as Keplerian orbits, phase angles, geometric albedo, host star, and exozodiacal dust [6-7].
Until now, the estimation of completeness, a count of detectable planets over the number of distributed planets, has been derived using average values for each of the parameters. This may be a significant source of bias as many of these parameters depend substantially on the astrophysical scenario. For example, the planet orbital orientation affects where the solar glint is observed through our detector. In this project, using novel simulation techniques that realistically model the astrophysical parameters, we will be able to derive a better estimate for the completeness of observation then those from previous techniques [8].
Methods
Given a user-defined set of astrophysical parameters that includes the host star, planet type, and planet orbit among others, our algorithm produces a completeness estimate value for one orbit. To make this process more computationally efficient, we have devised several methods for estimation that are outlined below.
Master Matrix
Opening the Point Spread Function (PSF) at a given location requires more computational time than any other step of our algorithm. Therefore, we have devised a global variable in which stores the cropped, rotated PSF about a given pixel position — namely, Master Matrix. Recognizing that the pixels in the stationary region correspond to the same PSF as any other pixel of the region, the master matrix efficiently stores only the necessary PSFs.
Signal
We build our own signal model referencing calculations performed within SISTER. Signal is obtained by using the formula:
Signal = Fluxstar × Flux Ratioplanet × PSF × Timeintegrate + Noise (1)
Based on the star chosen by user from ExoCat (Nearby Stellar Systems Catalog for Exoplanet Imaging Missions), the algorithm derives the star spectrum (Fluxstar) using linear interpolation from the corresponding sub-spectral types 0 and 5. SISTER uses the phase angle, specified planet’s apparent position, radius, and geometric albedo, to derive the Flux Ratioplanet at all imaging wavelengths. Timeintegrate is a user specified value that describes how long the starshade will image the planet.
To obtain a signal to noise value (SNR) for a given configuration, we calculate a signal model for each window of integration, then sum over the whole simulated orbit. Then, we generate noise through SISTER numerous times to calculate a regression fit for the planet’s detected amplitude of signal.

Standard noise parameters such as readout noise and dark current are easily generated from SISTER. We must also add local zodiacal light, exo-zodiacal light, solar glint, and star effects to our signal to realistically model the astrophysical scenario. Templates for these terms will be conveniently stored, as these are constant throughout the planets we simulate. A primary advantage of using templates is that the algorithm is able to efficiently consider multiple orientation of orbits by simply rotating the templates. Noise is generated using a feature from SISTER. The noise parameters can be easily manipulated by the user. The default will be values that mimic WFIRST complex CCD detector. When the signal to noise ratio reaches 5, we label the planet as ‘detected.’ By looping this process over various parameters, we were able to study the effects of different experimental variables on completeness.
Results and Discussion
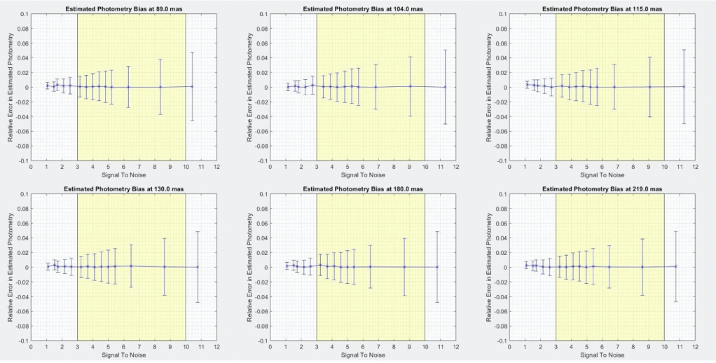
We first justify our method of using a simple linear regression slope to estimate a planet’s photometry given its apparent intensity. Though readout noise and dark current noise terms are both Gaussian, shot noise follows a Poisson distribution, which is difficult to predict. Readout noise, dark current, and shot noise are inherent instrumental noise from the detector. Furthermore, we want to confirm that there is no noise bias, which refers to the increase in error at low signal to noise ratios. It is also crucial to check that our estimation is not skewed in order to produce reliable data using starshade.
The histogram for a signal-to-noise ratio of 2.2 and distance to starshade of 89 milli arc-seconds is centered at 0 and symmetric (Fig. 2). Additional possible signal-to-noise ratios and distances were considered as well (Fig. 3).


With this algorithm, it is possible to input any astrophysical scenario to obtain a completeness estimate. The algorithm produces two estimates: one for assuming complete knowledge of local zodiacal light, exozodiacal light, and solar glint; one for assuming partial knowledge of those parameters. This ‘partial knowledge’ simply reduces the template subtraction by a user specified value, which in turn increases uncertainty in knowing the planet location. Solar glint can be well characterized from the angle of the star relative to the starshade. The local zodical light can we well known as it can be readily observed and calculated. However, exozodiacal light is highly unpredictable and thus, it is impossible to have a complete knowledge of the templates that were added in the algorithm. Furthermore, it is possible to run this algorithm over a variety of parameters to assess the effect of those parameters on the completeness estimate. Several examples are shown in Figures 3-6.
In conclusion, this algorithm produces a completeness estimate by simulating an astrophysical scenario given a single user-defined set of parameters. This algorithm is a versatile tool that can be easily adapted to any mission and derive the mission completeness estimate.




Further Research
One application of this algorithm is to directly apply Design Reference Models — pre-computed observational sequences that satisfies the fuel constraints —of future missions, and calculate the probability of detecting an Earth-like planet for that mission. This would be a straight forward process of looping this algorithm over all possible astrophysical scenarios expected from the mission.
There are numerous parameters that define an Earth-like planet. By looping through every combination of those parameters, it is possible to calculate the holistic probability of detecting an Earth-like planet in our universe [9]. Doing so will require the probability distribution of those parameters, which is another field of exploration. It also calls for an efficient system for sampling and interpolating, in which artificial intelligence and/or the Nelder-Mead method can be involved [10].
…
Conclusion
Development of this efficient algorithm allows for more accurate estimates of completeness using the starshade. It is able to compute a completeness estimate for a user defined set of astrophysical parameters. Its significance lies in that for the first time, we used simulated images instead of averaged values for variables. By mirroring the process of an astronomer, our algorithm generates a more realistic estimation of completeness. With improvements, this algorithm may be very useful for future JPL starshade mission planning, to calculate the probability of a successful mission.
…
Acknowledgments
This research was supported by the WFIRST mission at the Jet Propulsion Laboratory and the Caltech Student Faculty Program Office. We are extremely grateful to mentor Sergi Hildebrandt for his support. We also acknowledge the support of Stuart Shaklan, who provided guidance at weekly meetings and offered insightful advice with his expertise on the starshade.
References
- Stark CC. (2015). Lower Limits on Aperture Size for an ExoEarth Detecting Coronagraphic Mission. The Astrophysical Journal, 808:149, 16.
- Dimitri M. (2012). Review of small-angle coronagraphic techniques in the wake of ground-based second-generation adaptive optics systems. Space Telescopes and Instrumentation 844204
- Clampin M & Melnick G. (2006). Extrasolar Planetary Imaging Coronagraph. Space Telescopes and Instrumentation 62651B
- Exo-S: Starshade Probe-Class Exoplanet Direct Imaging Mission Concept Final Report. March 2015, ExoPlanet Exploration Program in Astronomy, Physics and Space Technology Directorate (Jet Propulsion Laboratory)
- Kopparapu KR & Ramirez R. (2013). Habitable Zones around Main Sequence Stars: New Estimates. The Astrophysical Journal, 765(2). doi:10.1088/0004-637X/765/2/131
- Guimond CM & Cowan NB. (2019). Three Direct Imaging Epochs Could Constrain the Orbit of Earth 2.0 inside the Habitable Zone. The Astronomical Journal,157(5), 188. doi:10.3847/1538-3881/ab0f2e
- Rogers LA. (2015). Most 1.6 Earth-Radius Planets Are Not Rocky. The Astrophysical Journal, 801(1), 41. doi:10.1088/0004- 637x/801/1/41
- Stark CC. (2019). ExoEarth yield landscape for future direct imaging space telescopes. Journal of Astronomical Telescopes, Instruments, and Systems, 5(2):1. doi:10.1117/1.jatis.5.2.024009
- Zahnle KJ & Catling DC. (2017). The Cosmic Shoreline: The Evidence that Escape Determines which Planets Have Atmospheres, and what this May Mean for Proxima Centauri B. The Astrophysical Journal, 843(2), 122. doi:10.3847/1538- 4357/aa7846
- Nelder JA & Mead R. (1965). A simplex method for function minimization. Comput. J, 7: 308-13.